Sign in
I
Sign up
themathsource.com
Algebra
Radicals
Multiplying radicals
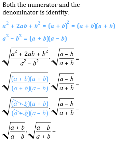
Example 14
Solution
Next step
Back to the examples
© 2020 themathsource.com